математика блим ленд помогите
Приложения:

CHORUSDRAG:
а эмм
Ответы
Ответ дал:
1
Ответ:
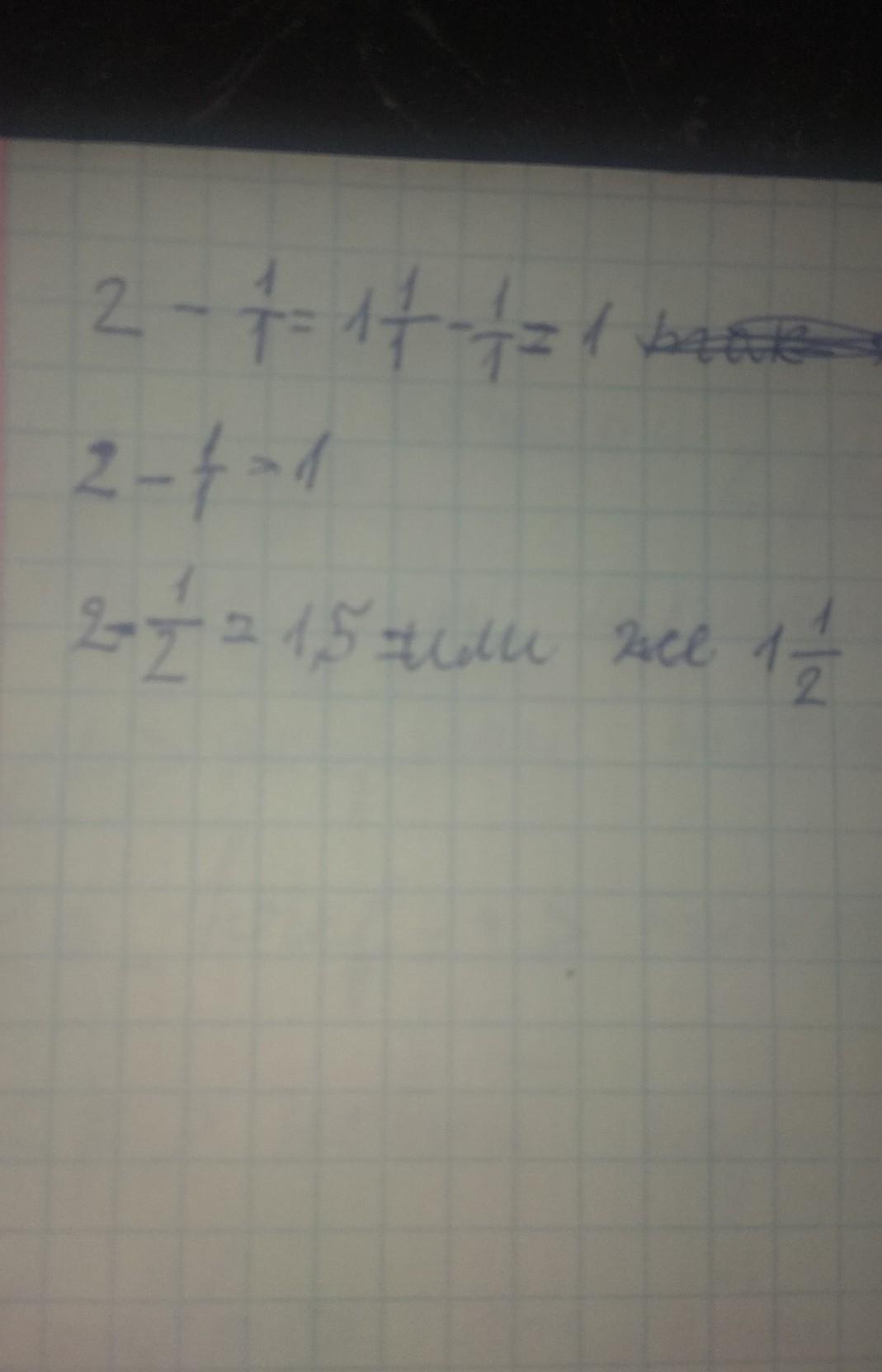
Наверное так ..................
Приложения:

Ответ дал:
0
Ответ:
1.1
2.1
3.1
4.1/2
Пошаговое объяснение:
Вас заинтересует
2 года назад
2 года назад
2 года назад
2 года назад
8 лет назад
8 лет назад
9 лет назад