• Предмет: Математика
  • Автор: kuznetsovam82
  • Вопрос задан 7 лет назад

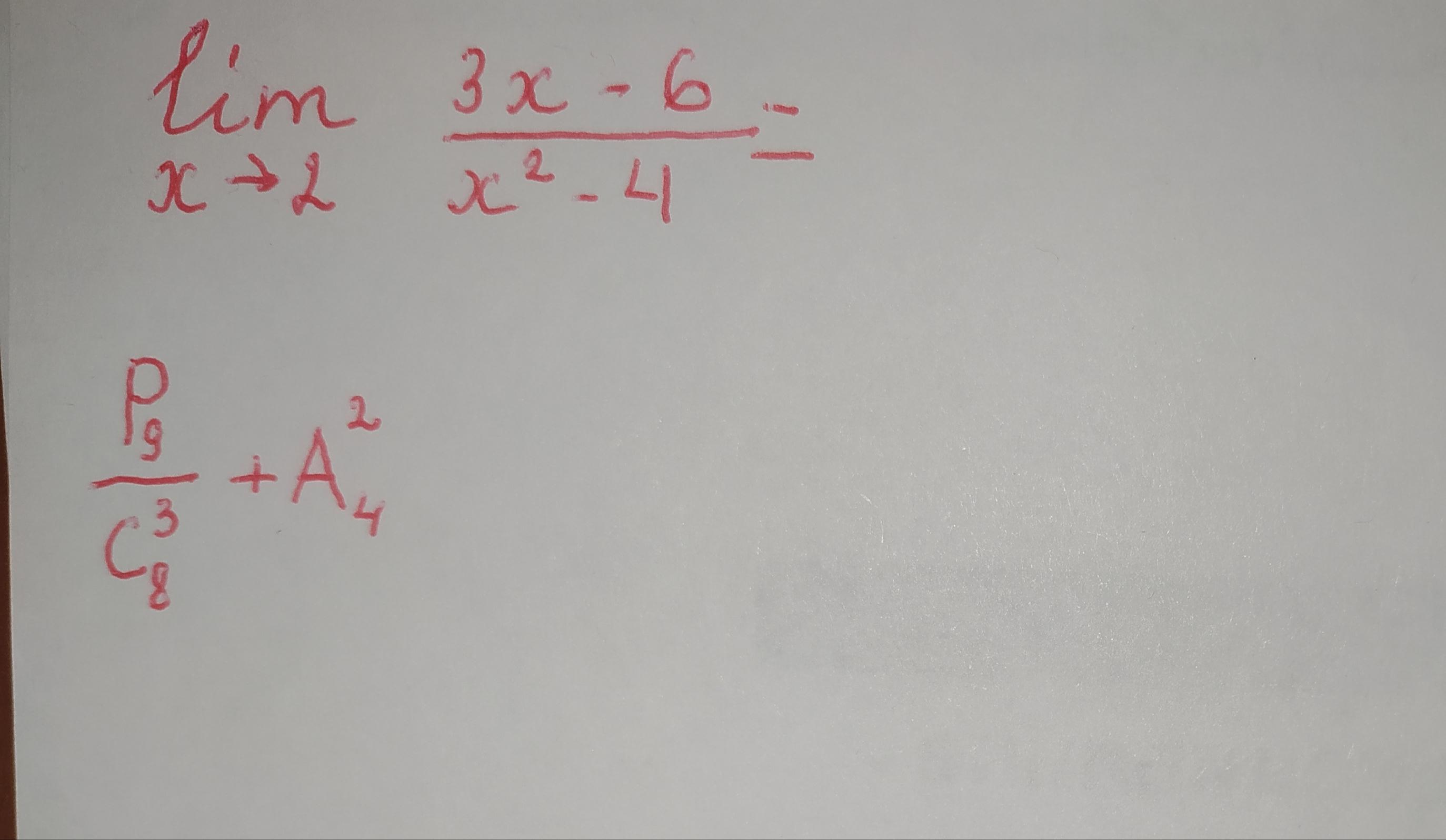
Помогите пожалуйста решить!

Приложения:

Ответы

Ответ дал: iosiffinikov
1

Ответ:

0,75

6372

Пошаговое объяснение:

Предел: делим числитель и знаменатель на х-2(в знаменателе разность квадратов) , получаем 3/(х+2). При х=2 неопределенности теперь нет. Ответ 3/4

Комбинаторика : Р9=9!

С83=8!/(3!*(8-3)!)

Значит отношение равно 9*5!*3!=9*120*6=1060*6=6360

А42=4!/2!=12

Ответ 6372

Вас заинтересует