• Предмет: Алгебра
  • Автор: danilsennikov92
  • Вопрос задан 7 лет назад

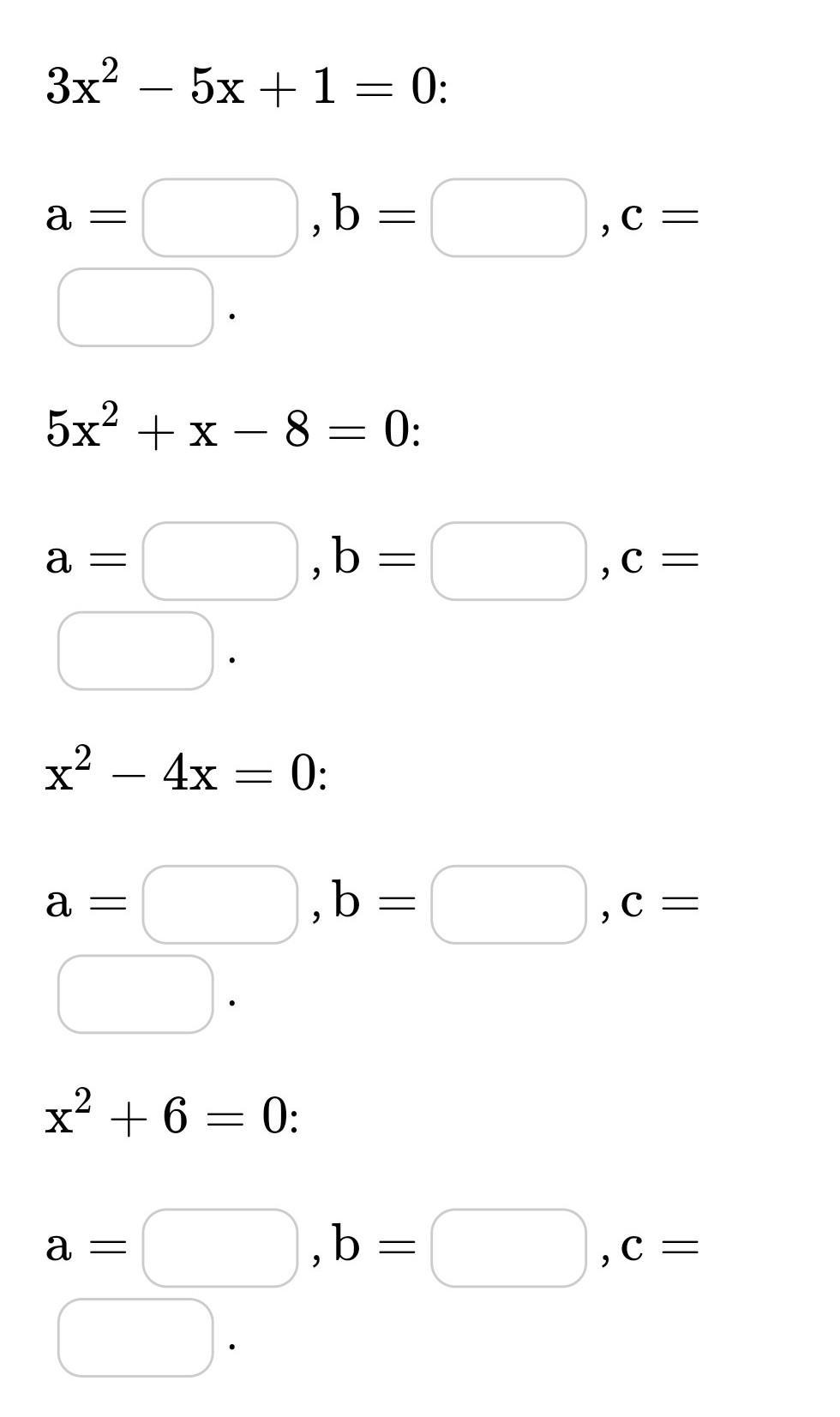
Укажи кофиценты квдратного уравнения​

Приложения:

Ответы

Ответ дал: aynurnovruzlu307
1

Ответ:

1) a=3

b=5

c=1

2) a=5

b=1

c=8

3) a=1

b=4

c=0

4)a=1

b=6

c=0

Объяснение:

надеюсь помогла)))))


danilsennikov92: спасииибоо
aynurnovruzlu307: пожалуйста ❤️
Вас заинтересует