Ответы
Ответ дал:
2
Ответ:
16 грамм
Объяснение:
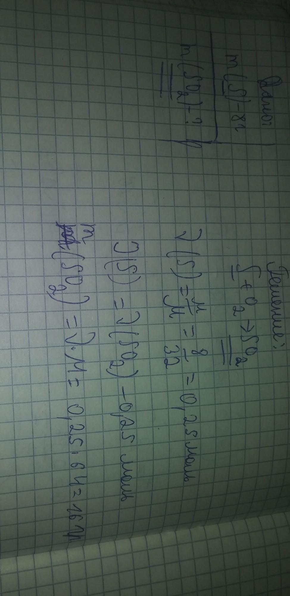
Чтобы найти массу,нужно ню умножить на малярную массу
Малярная масса равна молекулярной массе,а чтобы найти ню,нужно найти ню S
Ню S= масса/ на малярную массу
Масса дана в условий(8 гр) делим на молекулярную(32)=0,25 моль
Мы нашли ню S, а значит нашли и ню So2
Далее находим массу So2: ню умножанная на малярную массу,получаем
Ню(0,25) умножаем на 64(малярная=молекулярная масса),в итоге получаем 16,т.к. 0,25=1/4
Если вы не понимаете десятичные дроби,можно просто разделить на 4 и умножить на 1,получаем:
64:4×1=16 Гр
Ответ: 16 гр сернистого газа (SO2), образуется при сгорании серы массой 8 г.
Приложения:

aristoktararistokrat:
Если вы что-то смогли понять, и вас устраивает мой ответ,прожмите лайк
Вас заинтересует
2 года назад
2 года назад
2 года назад
8 лет назад
9 лет назад
9 лет назад