• Предмет: Алгебра
  • Автор: nikitaserebrakov08
  • Вопрос задан 7 лет назад

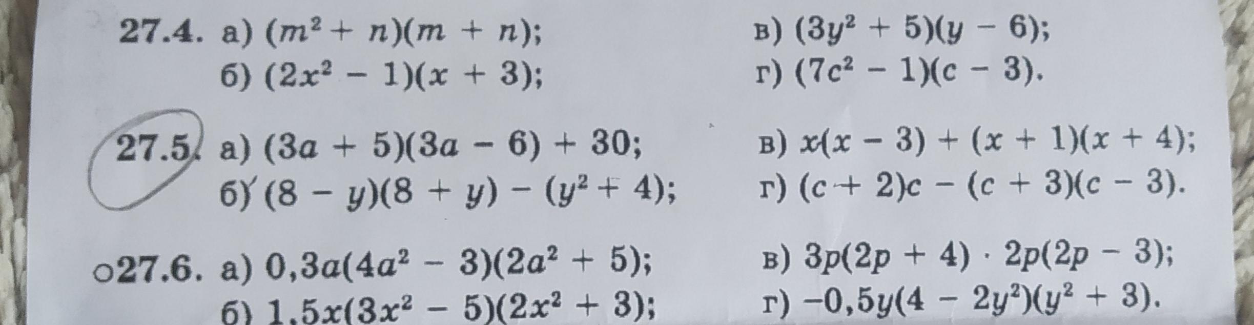
Решите примеры пожалуйста. (Слева справа )

Приложения:

Ответы

Ответ дал: jannkz
0

Объяснение:

а) 9а²-18a+15a-30+30=9a²-3a=3a(3a-1)

б) 64+8y-8y-y²-y²-4=-2y²+60=2(30-y²)

в) x²-3x+x²+4x+x+4=2x²+2x+4=2(x²+x+4)

г) с²+2с-(с²-9)=с²+2с-с²+9=2с+9

Вас заинтересует