Ответы
Ответ дал:
1
Ответ:
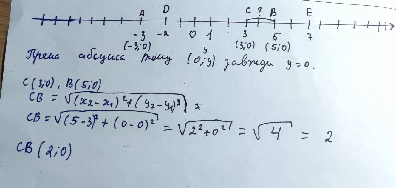
а)т. А(-3;0),В(5;0)
б) т.С(3;0), Д(-2;0), Е(7;0)
с) СВ(2;0)
Приложения:

Вас заинтересует
2 года назад
2 года назад
2 года назад
8 лет назад
9 лет назад