• Предмет: Алгебра
  • Автор: gemer717913
  • Вопрос задан 7 лет назад

Помогите пожалуйста ​

Приложения:

Ответы

Ответ дал: viktoriahiznicenko2
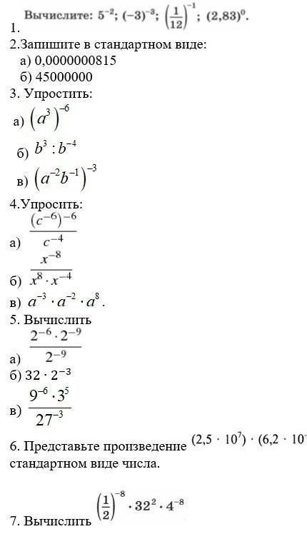
1

Ответ:

Прости знаю только 3

3) а)

(a {}^{3} ) {}^{ - 6}  =  \frac{1}{ {a}^{18} }

б)

b {}^{3}  \div b {}^{ - 4}  =  {b}^{ - 4}

в)

(a {}^{ - 2}  b {}^{ - 1} )  {}^{ - 3}  = a {}^{6} b {}^{3}

Вас заинтересует