• Предмет: Математика
  • Автор: cabanukkata293
  • Вопрос задан 7 лет назад


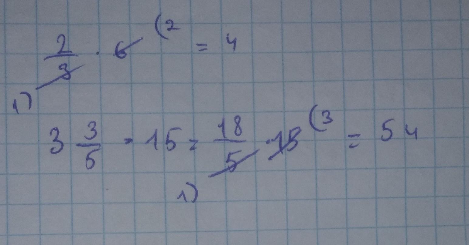
 \frac{2}{3}  \times 6
3 \frac{3}{5}  \times 15
Пж помогите​


cabanukkata293: ьам не 3 3/5 а просто 3/5

Ответы

Ответ дал: axrorovmahmud2
0

Ответ:

...........................

Приложения:
Ответ дал: KOTtema
2

Ответ:

 \frac{2}{3}  \times 6 \\ \\  2 \times 2 \\ \\  4 \\  -  -  -  -  -  -  -  -  \\ 3 \frac{3}{5}  \times 15 \\  \\  \frac{18}{5}  \times 15 \\  \\ 18 \times 3 \\  \\ 54

Вас заинтересует