• Предмет: Алгебра
  • Автор: kikidylm1122
  • Вопрос задан 7 лет назад

помогите пожалуйста решить систему уравнений​

Приложения:

Ответы

Ответ дал: mmb1
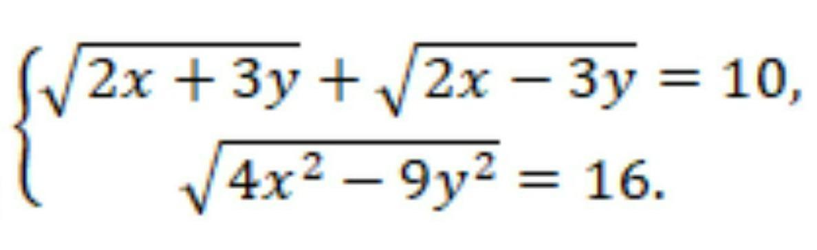
1

√(2x + 3y) + √(2x - 3y) = 10

√(4x² - 9y²) = 16

2x - 3y ≥ 0

2x + 3y ≥ 0

√(2x + 3y) = a ≥ 0

√(2x - 3y) = b ≥ 0

a + b = 10

ab = 16

a = 10 - b

(10 - b)b = 16

10b - b² = 16

b² - 10b + 16 = 0

D = 100 - 64 = 36

b12 = (10 +- 6)/2 = 2   8

1. b1 = 2

a1 =  10 - b1 = 8

√(2x + 3y) = 8

√(2x - 3y) = 2

---

2x + 3y = 64

2x - 3y = 4

4x = 68

x = 17

2*17 + 3y = 64

3y = 30

y = 10

2x - 3y = 34 - 30 > 0

2x + 3y = 64 > 0

2.  b2 = 8

a2 =  10 - b2 = 2

√(2x + 3y) = 2

√(2x - 3y) = 8

---

2x + 3y = 4

2x - 3y = 64

4x = 68

x = 17

2*17 - 3y = 64

-3y = 30

y = -10

2x - 3y = 34 + 30 > 0

2x + 3y = 34 - 30 = 4 > 0

ответ  (17, 10) (17, -10)

Вас заинтересует