• Предмет: Математика
  • Автор: DFive
  • Вопрос задан 7 лет назад

Нужна помощь. Даю 15 баллов.

Приложения:

Ответы

Ответ дал: Аноним
0

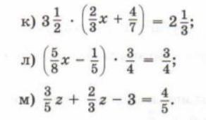
\displaystyle 1)3\frac{1}{2}(\frac{2}{3}x+\frac{4}{7})=2\frac{1}{3}\\\\ \frac{7}{2}(\frac{2}{3}x+\frac{4}{7})=\frac{7}{3}\\\\ \frac{7}{3}x+2=\frac{7}{3}\\\\ 7x+6=7\\7x=7-6\\7x=1\\\\ x=\frac{1}{7}\\\\ 2)(\frac{5}{8}x-\frac{1}{5})*\frac{3}{4}=\frac{3}{4}\\  \\ \frac{15}{32}x-\frac{3}{20}=\frac{3}{4}\\\\ 75x-24=120\\75x=120+24\\75x=144\\\\ x=\frac{48}{25}=1\frac{23}{25}=1,92\\\\ 3)\frac{3}{5}z+\frac{2}{3}z-3=\frac{4}{5}\\\\ 9z+10z-45=12\\19z-45=12\\19z=12+45\\19z=57\\z=3

Вас заинтересует