• Предмет: Математика
  • Автор: todoshchuknastia
  • Вопрос задан 7 лет назад

СРОЧНО!!! ДАЮ 100 БАЛЛОВ!!!

Приложения:

Ответы

Ответ дал: iramazurk
1

Ответ:

Пошаговое объяснение:

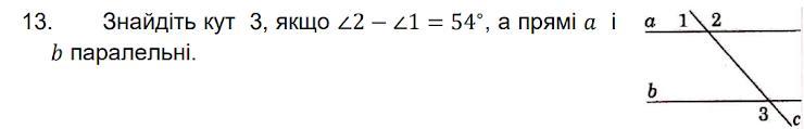
Угол 1 и угол 2 - смежные.

Сумма смежных углов = 180°

Угол 2 = угол 3 - как накрест лежащие

Угол 2 = х°

Угол 1 = у°

х + у = 180

х - у = 54

2х = 234

х + у = 180

1)

2х = 234

х = 234 : 2

х = 117

2)

х + у = 180

117 + у = 180

у = 180 - 117

у = 63

Угол 2 = (х) = 117°

Угол 1 = (у) = 63°

117° - 63° = 54°

117° + 63° = 180°

Угол 2 = угол 3 = 117°

Ответ: 117°

Вас заинтересует