• Предмет: Математика
  • Автор: kasimovsamat65
  • Вопрос задан 7 лет назад

СРОЧНО помогите с тригонометрией

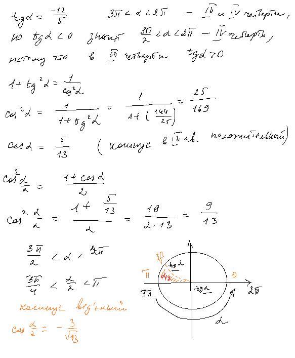
tg a= -12/5, 3п< a < 2п. Найти cos а/2

Ответы

Ответ дал: dashulka22222
1

Ответ:

Пошаговое объяснение:

Приложения:
Вас заинтересует