• Предмет: Математика
  • Автор: Ария15
  • Вопрос задан 7 лет назад

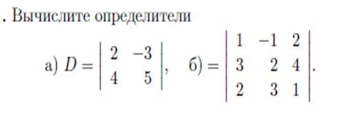
помогите пожалуйста решить , и объясните как это делать

Приложения:

Ответы

Ответ дал: dashulka22222
1

Ответ:

Пошаговое объяснение:

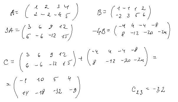
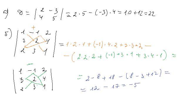
первое: каждый элемент А умножаете на 3, каждый элемент В умножаете на (-4), потом добавляете соответствующие элементы матриц

Приложения:
Вас заинтересует