Ответы
Ответ дал:
1
Ответ:
Объяснение:
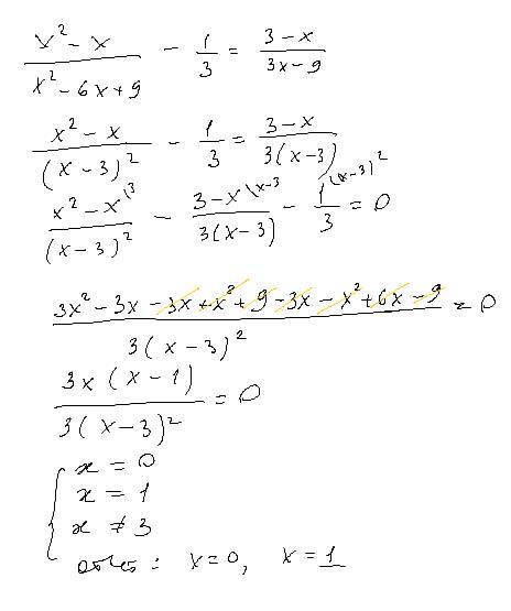
общий знаменатель
Приложения:

Вас заинтересует
2 года назад
2 года назад
2 года назад
2 года назад
9 лет назад