решите и запишите ход решения линейных уравнений
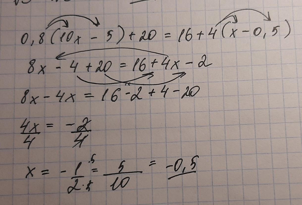
0,8(10x-5)+20=16+4(x-0,5);
3(m+3)-5(m-2)=6(2-m)-6m+14;
Ответы
Ответ дал:
1
Пошаговое объяснение:
так ну вот такжххфхфхфхфххфхфхфхфхфххфхф
Приложения:


Ответ дал:
0
0,8(10x-5)+20=16+4(x-0,5)
8x-4+20=16+4x-2
8x+16=14+4x
8x-4x=14-16
4x=14-16
4x=-2
x=-2:4
x=-0,5
3(m+3)-5(m-2)=6(2-m)-6m+14
3m+9-5m+10=12-6m-6m+14
-2m+19=26-12m
-2m+12m=26-19
10m=7
m=7:10
m=0,7
Вас заинтересует
2 года назад
2 года назад
8 лет назад
8 лет назад
9 лет назад