МНОГО БАЛЛОВ СРОЧНО ПОМОГИТЕ
При напряжении резистора, равном 110кВ, сила тока, проходящего через него, равна 4ма. Сколько напряжения нужно на него подать, чтобы сила тока на резисторе была 8мА.
Ответы
Ответ дал:
1
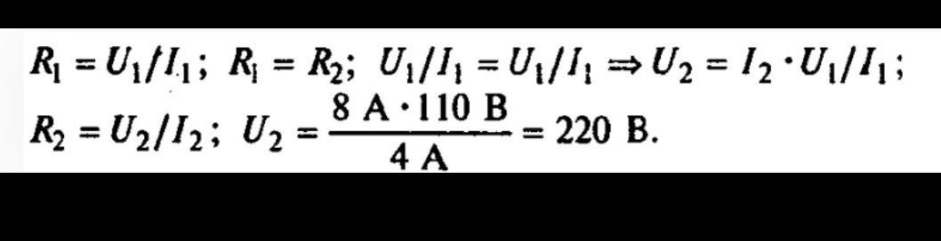
в дано писать U1-110В
I1- 4A; I2- 8A
__________
U2-?
Приложения:

Вас заинтересует
2 года назад
2 года назад
2 года назад
2 года назад
8 лет назад
8 лет назад
9 лет назад
9 лет назад