• Предмет: Алгебра
  • Автор: egoregorkov2
  • Вопрос задан 7 лет назад

ПОМОГИТЕ ПОЖАЛУЙСТА 10БАЛЛОВ

Приложения:

Ответы

Ответ дал: elenamuraweva
1

Ответ:

1

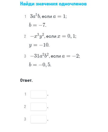
3 {a}^{5} b = 3 \times  {1}^{5}  \times ( - 7) =  - 21

2

 -  {x}^{3}  {y}^{2}  =  -  {(0.1)}^{3}  \times  {( - 10)}^{2}  =  - 0.001 \times 100 =  - 0.1

3

 - 31 {a}^{2}  {b}^{2}  =  - 31 \times  {( - 2)}^{2}   \times {( - 0.5)}^{2}  =  - 31 \times 4 \times 0.25 =  - 31 \times 1 =  - 31

Ответ дал: dnsmega19022020
0

Ответ:

1) -21

2)-0,1

3)240,25

Вот и всё :)

Вас заинтересует