• Предмет: Алгебра
  • Автор: dimagubenko
  • Вопрос задан 7 лет назад

15баллов алгебра, надо срочно ответ(вроде легко решается)

Приложения:

Ответы

Ответ дал: rasssamaha
1

Ответ:

Объяснение:

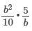
b²/10*5/b=b/2*1/1=b/2

Вас заинтересует