• Предмет: Математика
  • Автор: 4ebupelkagorachaya
  • Вопрос задан 7 лет назад

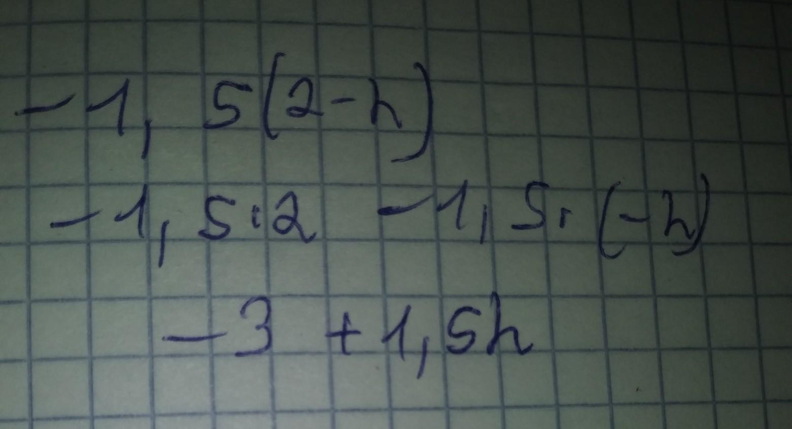
−1,5(2−n)
помогите пожалуйста (распишите по действиям)​

Ответы

Ответ дал: SuperDinozavr58
1

Ответ:

раскрываем скобки (при раскрытии скобок знаки меняются, если перед скобкой минус)

-3 + 1,5n

больше ничего сделать нельзя

Пошаговое объяснение:

отметь как лучший ответ пожалуйста)


4ebupelkagorachaya: спасибо
Ответ дал: aristoktararistokrat
1

Ответ:

Обьясню,

-1,5 умножаем на каждое число в скобке(2 и -n)так как мы раскрываем скобки,далее -1,5 умножаем на 2,получаем -3

И -1,5 умножаем на -n, минус на минус даст плюс,и получаем -3+1,5n

Приложения:

aristoktararistokrat: благодарю
Вас заинтересует