Ответы
Ответ дал:
2
Ответ:
Пошаговое объяснение:
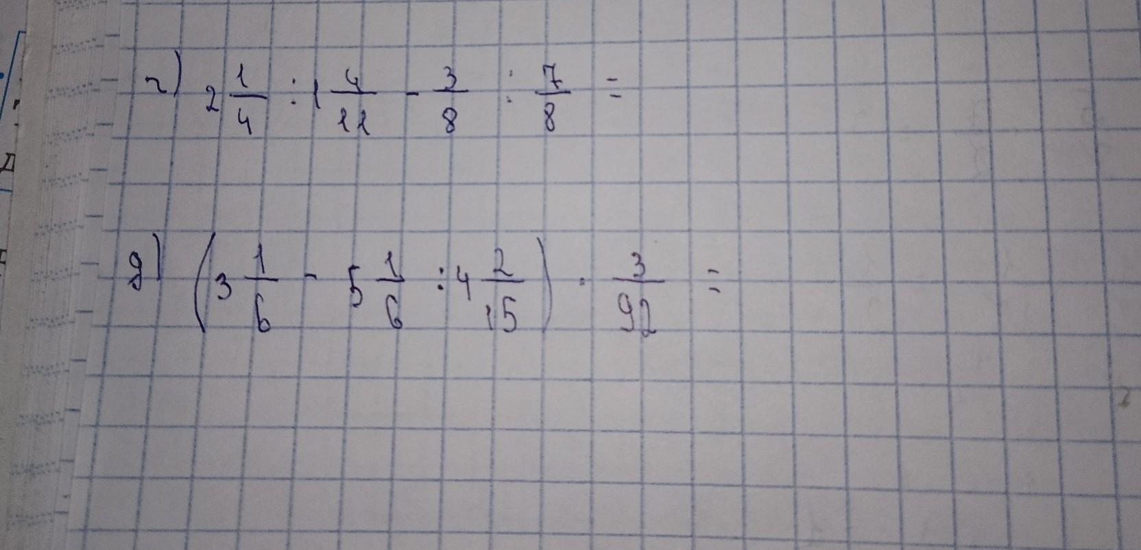
г)
1) 2 1/4 : 1 4/11 = 9/4 : 15/11 = 9/4 * 11/15 = 33/20
2) 3/8 : 7/8 = 3/8 * 8/7 = 3/7
3) 33/20 - 3/7 = 231/140 - 60/140 = 171/140 = 1 31/140
ответ: 1 31/140
==============
д)
1) 5 1/6 : 4 2/15 = 31/6 : 62/15 = 31/6 * 15/62 = 5/4 = 1 1/4
2) 3 1/6 - 1 1/4 = 3 2/12 - 1 3/12 = 1 11/12
3) 1 11/12 * 3/92 = 23/12 * 3/92 = 1/16
ответ: 1/16
Ответ дал:
1
Г)
1) 2 1/4: 14/11% 3D 9/4: 15/11 3 9/4 * 11/15 - 33/20 2) 3/8: 7/8% 3D 3/8 * 8/7% 3 3/7 3) 33) 20- 3/7 3 231 / 140- 60/140% 3 171/140% 3 1 31/140 1 31/140 e) 1) 5 1/6: 4 2 / 15 3 31/6: 62/15% 3 31/6 * 15/62% 3D 5/4% 3D 11/4 2) 3 1/6 -11/4% 3D 3 2/12 -1 3/12% 3D111 / 12 3) 111/12 * 3/92% 3D23 / 12 * 3/92 3 1/16 Ответ: 1/16
1) 2 1/4: 14/11% 3D 9/4: 15/11 3 9/4 * 11/15 - 33/20 2) 3/8: 7/8% 3D 3/8 * 8/7% 3 3/7 3) 33) 20- 3/7 3 231 / 140- 60/140% 3 171/140% 3 1 31/140 1 31/140 e) 1) 5 1/6: 4 2 / 15 3 31/6: 62/15% 3 31/6 * 15/62% 3D 5/4% 3D 11/4 2) 3 1/6 -11/4% 3D 3 2/12 -1 3/12% 3D111 / 12 3) 111/12 * 3/92% 3D23 / 12 * 3/92 3 1/16 Ответ: 1/16
Вас заинтересует
2 года назад
2 года назад
3 года назад
3 года назад
8 лет назад
8 лет назад
10 лет назад