• Предмет: Математика
  • Автор: yerokut
  • Вопрос задан 7 лет назад

Если известно что a/c=1-b/d, выразите a, b, и c

Ответы

Ответ дал: netyskins
0

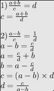
ответ:

Обьяснения ответа:

Приложения:
Ответ дал: olegc601
0

Ответ:

a=c-cb/d

b=-ab/c+1

d=c-bc/a

Пошаговое объяснение:

Вас заинтересует