Ответы
Ответ дал:
1
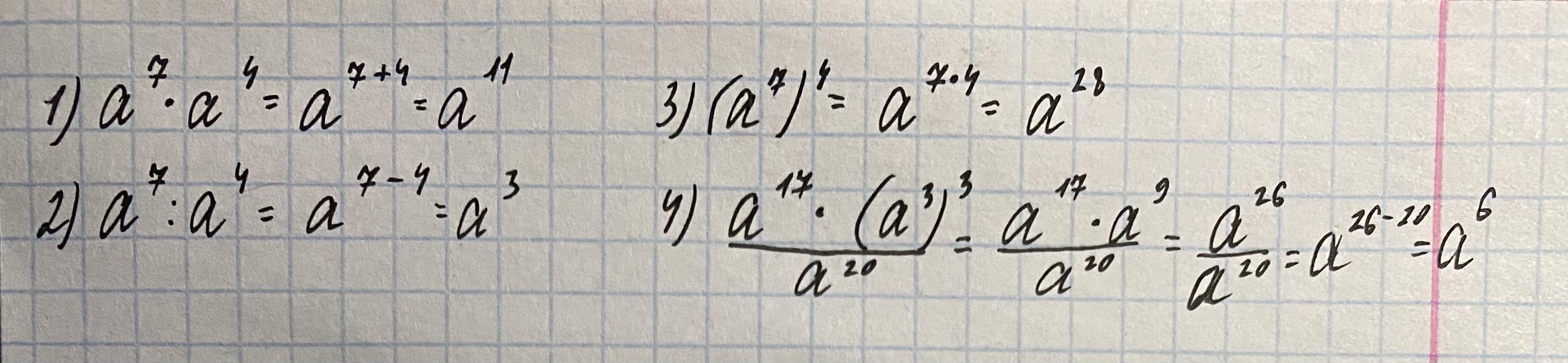
1)a⁷×a⁴=a¹¹
2)a⁷:a⁴=a³
3)(a⁷)⁴=a²⁸
4)a¹⁷×(a³)³/a²⁰=a¹⁷×a⁹:a²⁰=a²⁶:a²⁰=a⁶
Ответ дал:
1
Ответ на данный вопрос во вложении:
Приложения:

Вас заинтересует
2 года назад
2 года назад
8 лет назад
8 лет назад
9 лет назад