• Предмет: Математика
  • Автор: bogdanovvalera912
  • Вопрос задан 7 лет назад

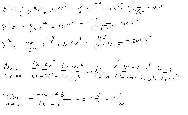
Найти производную третьего порядка помогите пожалуйста срочно!

Приложения:

Ответы

Ответ дал: dashulka22222
0

Ответ:

Пошаговое объяснение:

Приложения:
Вас заинтересует