• Предмет: Алгебра
  • Автор: caveliistulov
  • Вопрос задан 7 лет назад

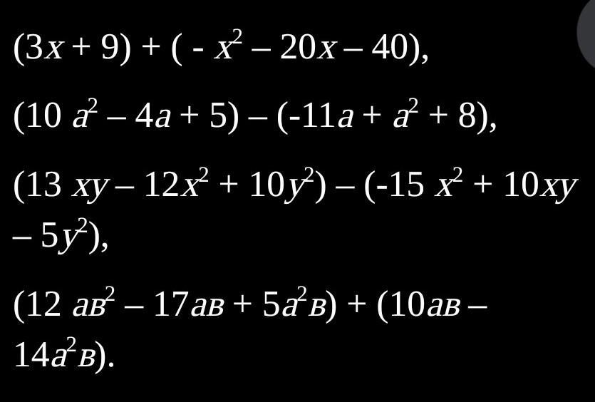
Упростите выражение. ​

Приложения:

Ответы

Ответ дал: bogomazovvladimir895
1

1) -x^2-17x-31

2) 9a^2+7a-3

3) 3xy+3x^2+15y^2

4) 12ab^2-7ab-9a^2b

Объяснение:

сокращаем , приводим подобные члены , получаем ответ

Вас заинтересует