• Предмет: Алгебра
  • Автор: Gruvi26543
  • Вопрос задан 7 лет назад

Решите уравнение с подробным объяснением.
Желательно, всё разжевать. Вообще не могу разобраться, как решать тригонометрические уравнения

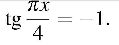
Приложения:

Ответы

Ответ дал: sergeevaolga5
0

Ответ:

-1+4n, n∈Z

Объяснение:

tgβ= -1, если β=-π/4+πn, n∈Z (табличное значение)

В нашем случае, аргументом тангенса является угол πх/4, поэтому запишем решение так:

tg(πx/4) = -1

πx/4 = -π/4+πn, n∈Z

Теперь, обе части уравнения делим на π/4, получаем:

х = -π/4 : π/4 + πn/ (π/4), n∈Z

x = -1 + 4n, n∈Z


Gruvi26543: Большое спасибо
Вас заинтересует