Задание 2.
Решите уравнения:
а) Skrinshot 26-09-2021 222801.png (14 баллов);
б) Skrinshot 26-09-2021 222825.png (15 баллов).
Приложения:


Ответы
Ответ дал:
5
Ответ:
2) х^4 - 3х^2 + 2 =0
-2 х^2 = -2
х= -2 : (-2)
х= 1
по моему так
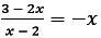
1) 3 - 2х
. х - 2. = -х
х + 1 = - х
2х=-1
х = -1 : 2= -1/2
alpha222333:
На 1 вопрос у тебя есть ответ?(
Вас заинтересует
2 года назад
2 года назад
8 лет назад
8 лет назад
9 лет назад