• Предмет: Математика
  • Автор: ilililik
  • Вопрос задан 7 лет назад

9-(4 2/5 - 3 11/15)+(5 1/3 - 3 2/9


jekadva: = 10 4/9

Ответы

Ответ дал: Аноним
0

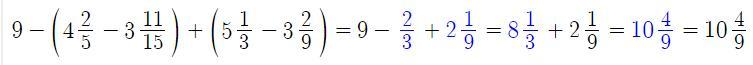
9-(4 2/5 - 3 11/15)+(5 1/3 - 3 2/9)=

9-(4 6/15 - 3 11/15)+(5 3/9 - 3 2/9)=9-(3 21/15 - 3 11/15)+(2 1/9)=

9-(10/15 )+(2 1/9 )=9-(2/3 )+(2 1/9 )=9-(6/9 )+(2 1/9 )=8 3/9+2 1/9=10 4/9

Ответ дал: Huligan337
1

Ответ:

10 4/9

Пошаговое объяснение:

Приложения:
Вас заинтересует