Ответы
Ответ дал:
1
Ответ:
Объяснение:
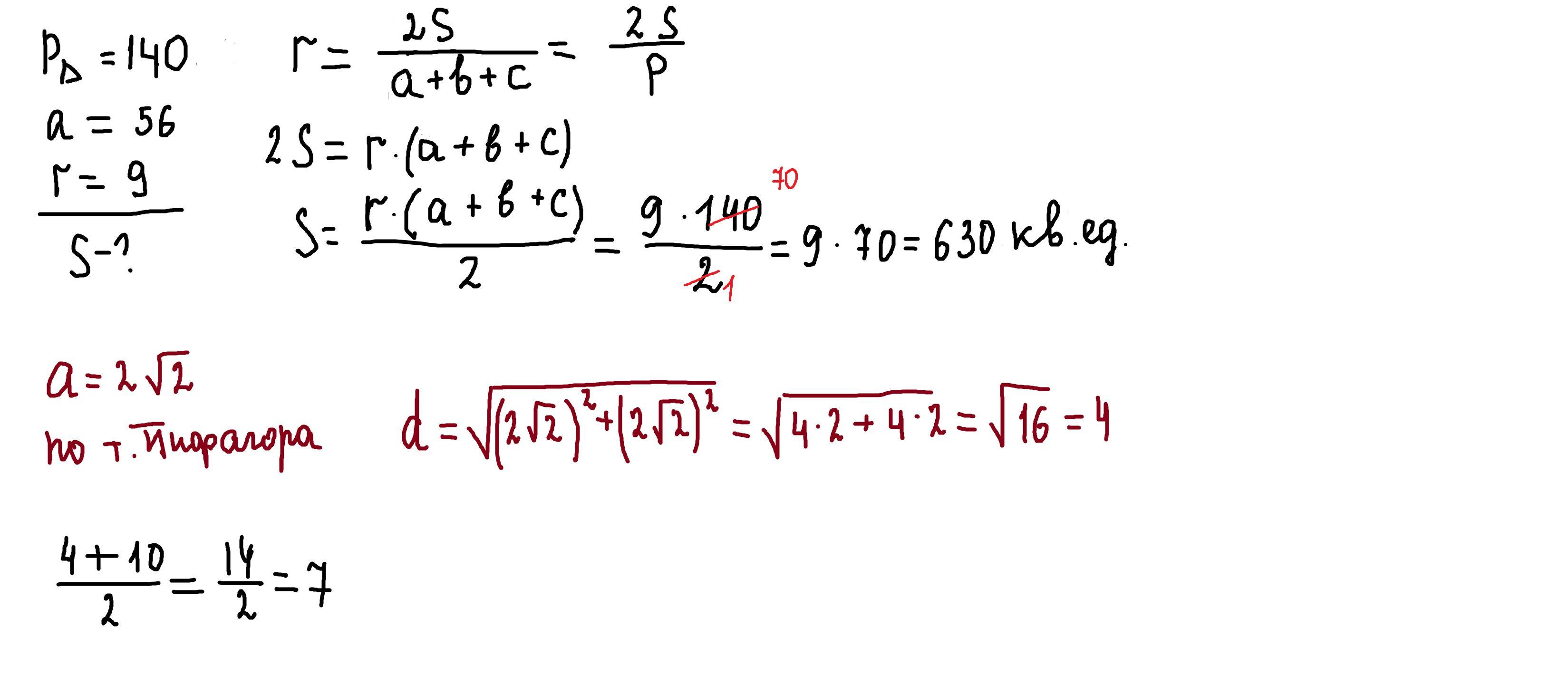
решение 16 задачи внизу
17.т.к диагональ квадрата делит квадрат на 2 равных прямоугольных треугольника,то для нахождения диаганали можно применить т.Пифагора
18.ср. линия трапеции равна полусумме ее оснований.
1 основание -10
2 основание 4
(4+10):2=7
Приложения:

Вас заинтересует
2 года назад
2 года назад
2 года назад
2 года назад
8 лет назад
8 лет назад
9 лет назад