• Предмет: Алгебра
  • Автор: stanislavgolub
  • Вопрос задан 7 лет назад

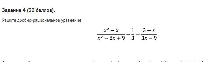
Решите дробно-рациональное уравнение

Приложения:

Ответы

Ответ дал: Applegate
7

》》》》》》》》》》》》》》》》》》》》》》》》》》》》》》》》》

Приложения:

Аноним: Здравствуйте вы не могли бы вы мне помочь с алгеброй пожалуйста умоляю
Вас заинтересует