• Предмет: Математика
  • Автор: kulzhabaevasaltanat2
  • Вопрос задан 7 лет назад

Решите пожалуйста буду благодарен вам за помощь​

Приложения:

kulzhabaevasaltanat2: не удаляйте мой вопрос
kulzhabaevasaltanat2: делать нечего что ли

Ответы

Ответ дал: DiRaNs
1

Пошаговое объяснение:

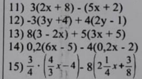
11) 3(2х+8)-(5х+2)=6х+24-5х-2=6х-5х+24-2=х+22

12) -3(3у+4)+4(2у-1)=-9у-12+8у-4=-9у+8у-12-4=-у-16

13) 8(3-2х)+5(3х+5)=24-16х+15х+25=-16х+15х+24+25=-х+49

14) 0,2(6х-5)-4(0,2-2)=1,2х-1-0,8х+8=1,2х-0,8х-1+8=0,4х+7

15) 3/4*(4/3х-4)-8(2 1/4х+3/8)=х-3-18х-3=х-18х-3-3=-17х-6

Ответ дал: jekadva
1

Ответ:

Пошаговое объяснение:

11) = 6x + 24 - 5x - 2 = x + 22

12) = -9y - 12 + 8y - 4 = -y - 16

13) = 24 - 16x + 15x + 25 = 49 - x

14) 1,2x - 1 - 0,8x + 8 = 0,4x + 7

15) = x - 3 - 18x - 3 = -17x - 6

Вас заинтересует