• Предмет: Математика
  • Автор: SilTrack
  • Вопрос задан 7 лет назад

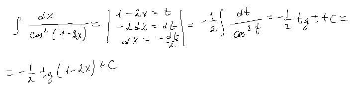
Найти неопределённый интеграл. Срочно! Пожалуйста

Приложения:

Ответы

Ответ дал: dashulka22222
0

Ответ:

Пошаговое объяснение:

Приложения:
Вас заинтересует