• Предмет: Математика
  • Автор: creec
  • Вопрос задан 7 лет назад

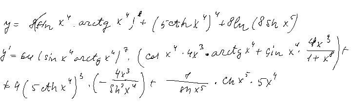
Найти производную y' данной функции

y = 8[ sin(x^4 )∙arctg(x^4 )]^8 + [ 5cth(x^4 )]^4 + 8Ln[ 8sh(x^5 )]

Ответы

Ответ дал: dashulka22222
0

Ответ:

Пошаговое объяснение:

Приложения:
Вас заинтересует