• Предмет: Химия
  • Автор: lolottos
  • Вопрос задан 7 лет назад

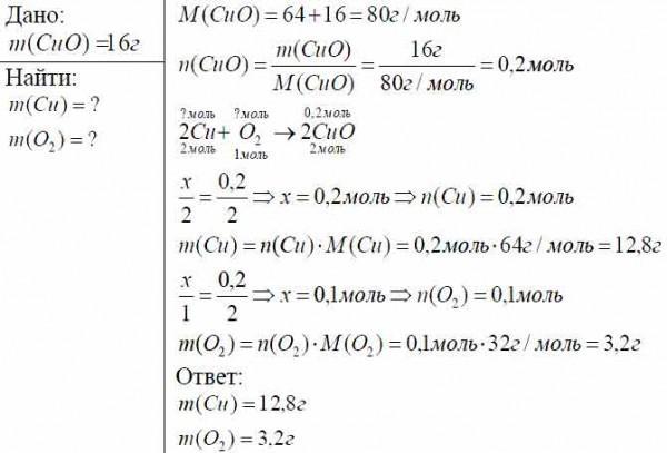
решите пожалуйста хотя бы 3 вопрос, срочно надо!​

Приложения:

Ответы

Ответ дал: waqque
1

3. 1)Тип реакции: разложение. 2Au2O3=3O2+4Au

б) Тип реакции: соединение.

N2+O2=2NO

в)Тип реакции: обмен.

СаС2 + 2H2O=Ca(OH)2+C2H2

г) Тип реакции: замещение.

3Zn+2FeBr3=3ZnBr2+2Fe

Приложения:
Вас заинтересует