• Предмет: Математика
  • Автор: halkkkkkkk
  • Вопрос задан 7 лет назад

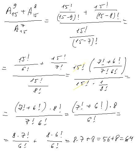
вычислить: (с подробным решением) ​

Приложения:

Ответы

Ответ дал: dashulka22222
0

Ответ:

Пошаговое объяснение:

Приложения:
Вас заинтересует