• Предмет: Алгебра
  • Автор: stafafa
  • Вопрос задан 7 лет назад

решите пожалуйста даю 20 баллов срочно!!!!!!!!!!

Приложения:

Ответы

Ответ дал: cenko6555
0

Ответ:

1. -3ax²-3a-20a-4ax2

2. 2x²-16x+3x²-12x

4. -5x-35-24x-32

Кажется так(дальше не написала)

Ответ дал: elenamuraweva
0

Ответ:

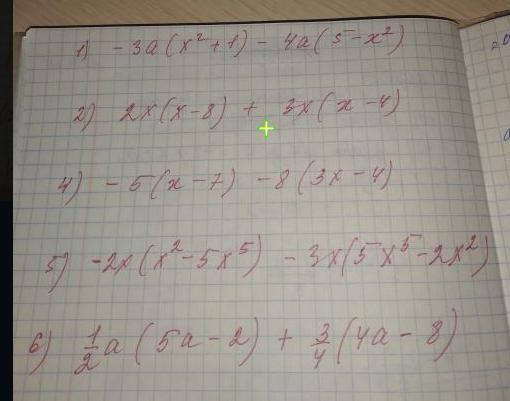
1) - 3a( {x}^{2}  + 1) - 4a(5 -  {x}^{2} ) =  - 3a {x}^{2}  - 3a - 20a + 4a {x}^{2}  = a {x}^{2}  - 23a = a( {x}^{2}  - 23)

2)2x(x - 8) + 3x(x - 4) = 2 {x}^{2}  - 16x + 3 {x}^{2}  - 12x = 5 {x}^{2}  - 28x = x(5x - 28)

3) - 5(x - 7)  - 8(3x - 4)  =  - 5x + 35 - 24x + 32 =  - 29x + 67

4) - 2x( {x}^{2}  - 5 {x}^{5} ) - 3x(5 {x}^{5}  - 2 {x}^{2} ) =  - 2 {x}^{3}  + 10 {x}^{6}  - 15 {x}^{6}  + 6 {x}^{3}  =  - 5 {x}^{6}  + 4 {x}^{3}  =   - {x}^{3} (5 {x}^{3}  - 4)

5) \frac{1}{2} a(5a - 2) +  \frac{3}{4} (4a - 8) =  \frac{5}{2}  {a}^{2}  - a + 3a - 6 = 2 \frac{1}{2}  {a}^{2}  + 2a - 6

Вас заинтересует