• Предмет: Геометрия
  • Автор: adbd
  • Вопрос задан 7 лет назад

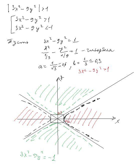
Помогите, пожалуйста! 100 баллов! Срочно! Изобразить множество точек, которая в прямоугольной системе координат задается неравенством |3x^{2} -9y^{2} | \ \textgreater \ 1

Ответы

Ответ дал: dashulka22222
1

Ответ:

Объяснение:

Я не уверена, но считаю, что это будет множество точек (красное и зеленое на рисунке) между двух гипербол (черная и зеленая на рисунке) без точек самих гипербол

Приложения:

adbd: Если есть желание и возможность решить, то вот ещё задача https://znanija.com/task/47241922
adbd: Огромное спасибо за помощь. Надеюсь, что ответы таки верные.
Вас заинтересует