• Предмет: Математика
  • Автор: qoceliaskerov0605
  • Вопрос задан 7 лет назад

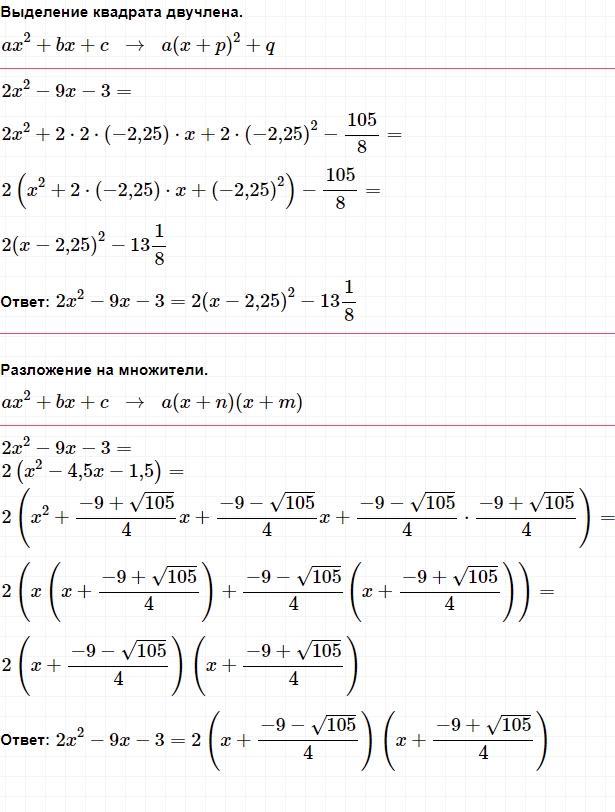
2x^2-9x-3 разложите на множители

Ответы

Ответ дал: Anisimovdanil456893
0

ВОТ ЛОВИ ВСЕ ОЧЕНЬ ЛЕГКО

Приложения:
Вас заинтересует