Ответы
Ответ дал:
3
Ответ:
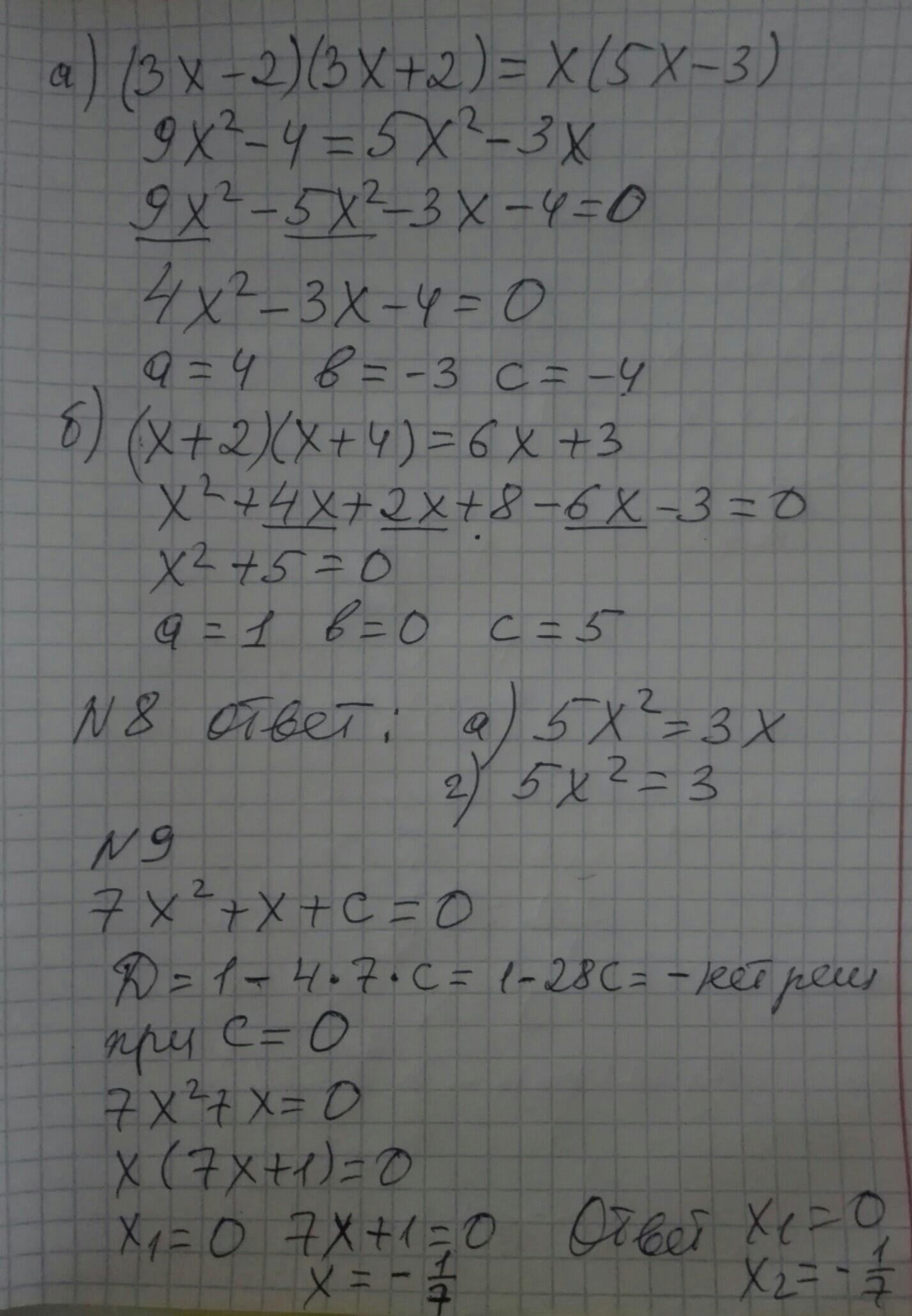
ответ8 класс соч 2 четверть, алгебра!
Приложения:



thismqshit:
ТУТ НЕ ВСЁ
Вас заинтересует
2 года назад
2 года назад
2 года назад
2 года назад
8 лет назад
9 лет назад