• Предмет: Алгебра
  • Автор: nurislam2016a
  • Вопрос задан 7 лет назад

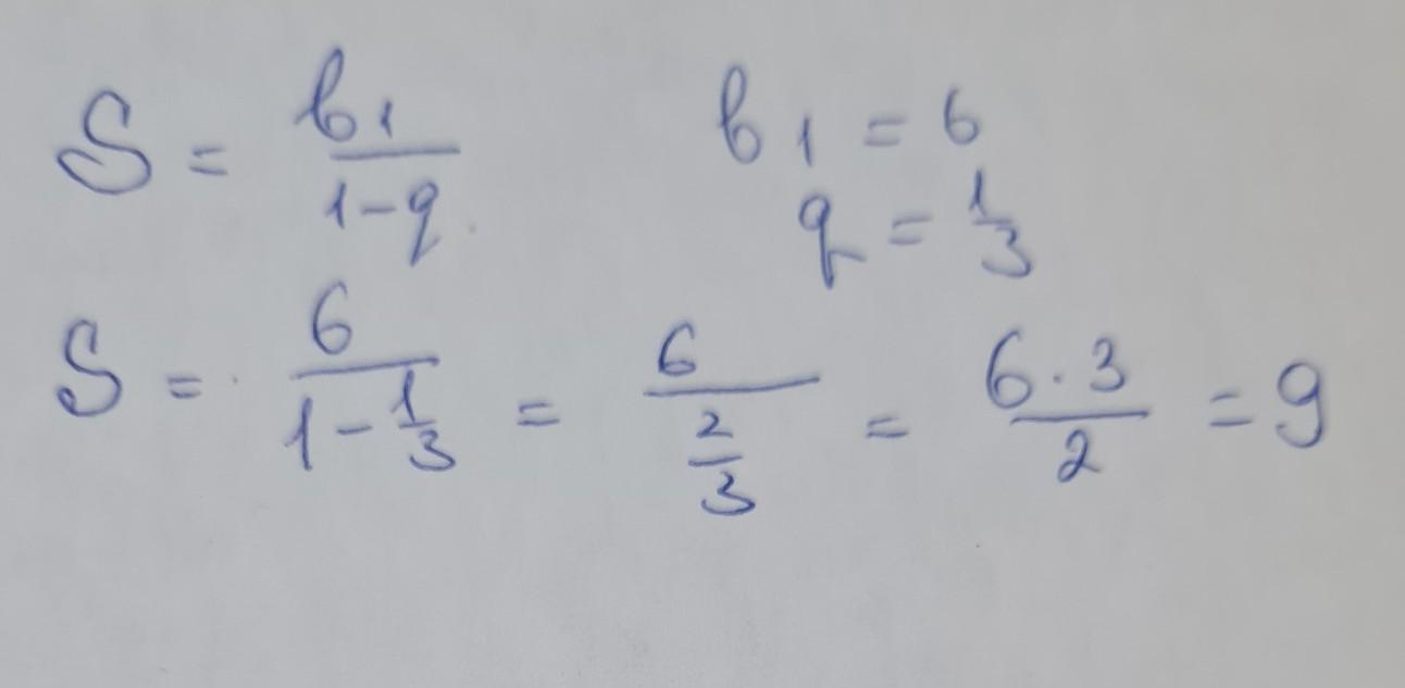
Найти сумму бесконечно убывающей геометрической прогрессии если b1=6, q=1/3

Ответы

Ответ дал: huseynovt1973
1

Ответ:

просто запомни формулу.

Приложения:

nurislam2016a: Можешь помочь еще.Спасибо большое
Вас заинтересует