Ответы
Ответ дал:
0
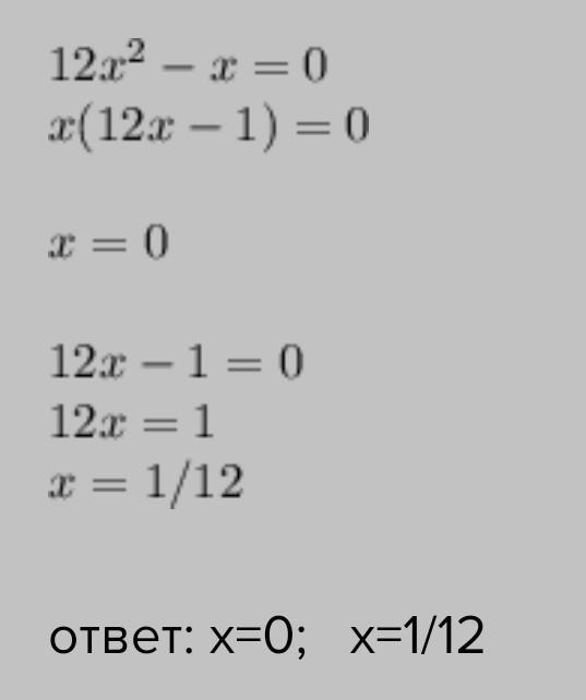
ответы на фото. вместо "and" пишите "и"
Приложения:


Вас заинтересует
2 года назад
2 года назад
2 года назад
8 лет назад
8 лет назад