Ответы
Ответ дал:
2
Ответ:
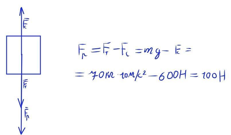
100H
Объяснение:
Приложения:

angel2167:
спасибо
Вас заинтересует
2 года назад
2 года назад
2 года назад
8 лет назад