• Предмет: Алгебра
  • Автор: shih94
  • Вопрос задан 7 лет назад

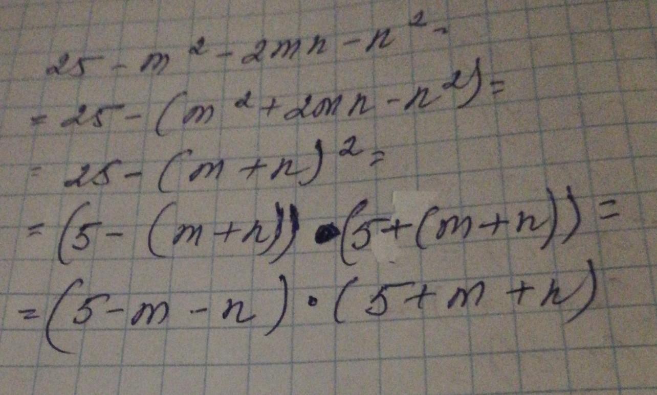
25-m^2-2mn-n^2 помогите пожалуйста решить

Ответы

Ответ дал: larisaserova53
1

Ответ:

Смотри решение на фото..

Приложения:
Вас заинтересует