Ответы
Ответ дал:
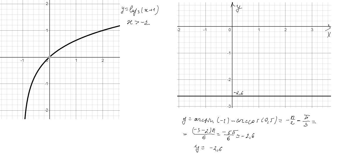
1
Ответ:
Пошаговое объяснение:
Приложения:


Ternov21:
помогите пожалуйста с вопросами у меня в профиле.
Вас заинтересует
2 года назад
2 года назад
2 года назад
2 года назад
8 лет назад
9 лет назад