Ответы
Ответ дал:
0
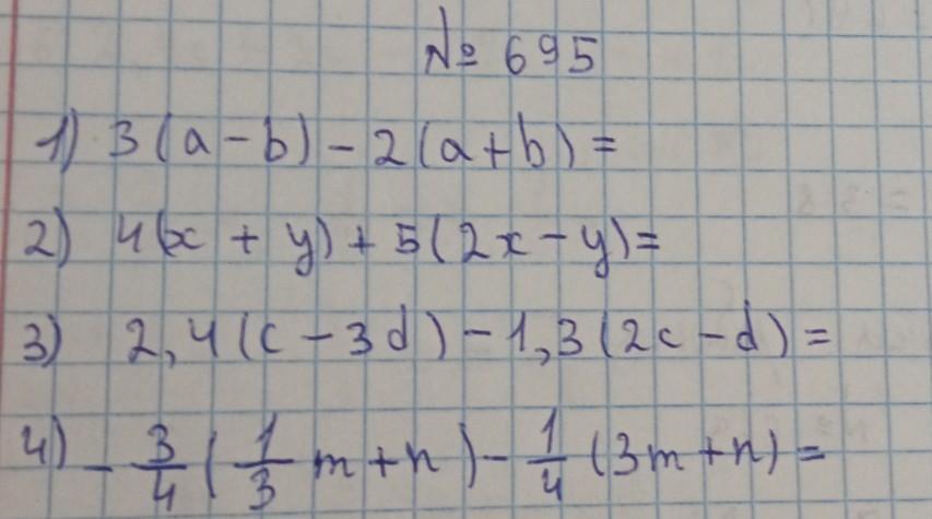
3(a-b)-2(a+b)=3a-3b-2a-2b=a-5b
4(x+y)+5(2x-y)=4x+4y+10x-5y=14x-y
2,4(c-3d)-1,3(2c-d)=2,4c-7,2d-2,6c+1,3d=-0,2c-5,9d
-3/4(1/3m+n)-1/4(3m+n)=-1/4m-3/4n-3/4m-1/4n=-m-n
Ответ дал:
0
Пошаговое объяснение:
надеюсь что правильно, удачи;)
Приложения:

Вас заинтересует
2 года назад
2 года назад
2 года назад
8 лет назад
8 лет назад
9 лет назад