• Предмет: Математика
  • Автор: fade7397
  • Вопрос задан 7 лет назад

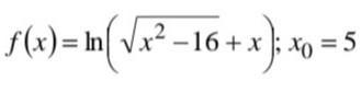
Найти производную функции f (x), и её значение в заданной точке x0​

Приложения:

Ответы

Ответ дал: katamartinuk28
0

Ответ:f(x)=ln[√x2-16+x];x0=5

Пошаговое объяснение:

Вас заинтересует