• Предмет: Математика
  • Автор: antongudkov979700
  • Вопрос задан 7 лет назад

АЛГЕБРА 9 КЛАСС!!!!!!! ПОМОГИТЕ!!!!!!!! ДАЮ 25 БАЛЛОВ!
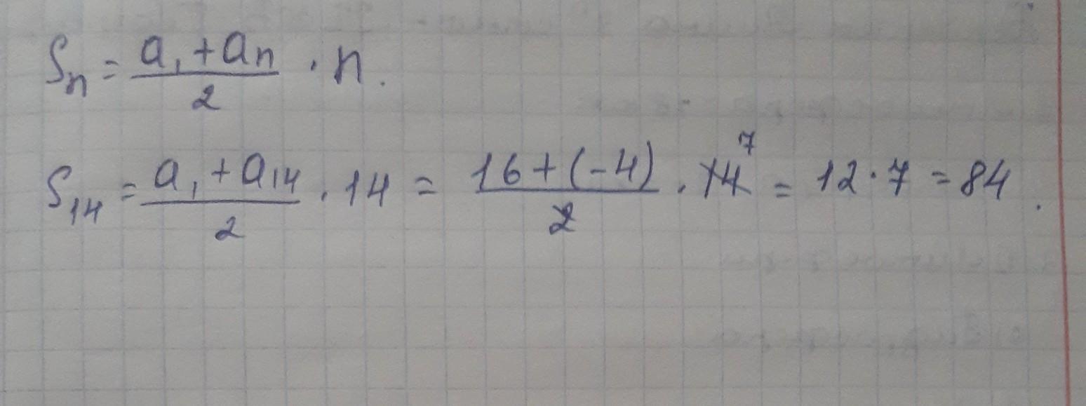
Найти сумму первых четырнадцати членов арифметической прогрессии, если а1 = 16, а14 = -4.

Ответы

Ответ дал: stanley771
2

ответ будет 84.

прикреплю фото с решением.

Приложения:

gajdarovalaura9: Молодец!
stanley771: и ты молодец
gajdarovalaura9: :)
gajdarovalaura9: Почему ты от меня отписалась?:(
stanley771: меня блокнули вчера и думала что теперь не зайду сюда хехе. сейчас подпишусь
gajdarovalaura9: Спс ок
Вас заинтересует