• Предмет: Алгебра
  • Автор: eugeniodepez
  • Вопрос задан 7 лет назад

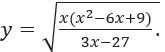
Здравствуйте, помогите решить задание по алгебре 9 класса буду рад если поможете)
Найдите область определения функции

Приложения:

Ответы

Ответ дал: MizoriesKun
1

Смотри............................

Приложения:

eugeniodepez: Спасибо вам большое!!!
Вас заинтересует