• Предмет: Алгебра
  • Автор: Shon2208
  • Вопрос задан 7 лет назад

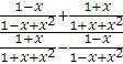
Перепишіть у вигляді раціонального дробу

Приложения:

Ответы

Ответ дал: bb573878
2

Ответ:

Объяснение:

\displaystyle\bf\\\frac{\frac{1-x}{1-x+x^2}+\frac{1+x}{1+x+x^2} }{\frac{1+x}{1+x+x^2}-\frac{1-x}{1-x+x^2}} =\frac{\frac{(1-x)(1+x+x^2)+(1+x)(1-x+x^2)}{(1-x+x^2)(1+x+x^2)} }{\frac{(1+x)(1-x+x^2)-(1-x)(1+x+x^2)}{(1-x+x^2)(1+x+x^2)}  } =\\\\\\=\frac{1-x^3+1+x^3}{1+x^3-1+x^3} =\frac{2}{2x^3} =\frac{1}{x^3}


dDeVoChKa: Добрый день! Если Вас не затруднит, решите, пожалуйста, задачку у меня в профиле. Заранее благодарю!
Вас заинтересует