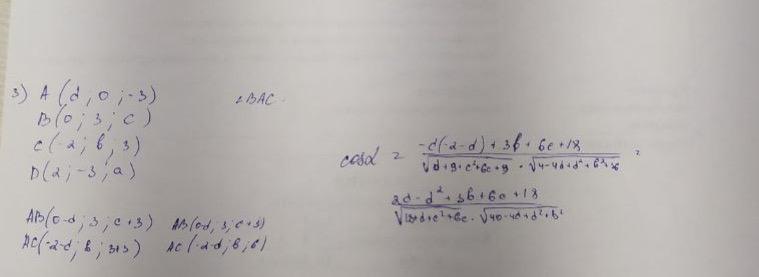
Треугольная пирамида ABCD задана координатами своих вершин: A(d;0;-3), B(0;3;c), C(-2;b;3), D(2;-3;a). Найдите угол ВАС.
Ответы
Ответ дал:
4
Ответ:
Даша..если ты это видишь
Объяснение:
Приложения:

Вас заинтересует
2 года назад
2 года назад
2 года назад
8 лет назад
8 лет назад
9 лет назад