• Предмет: Алгебра
  • Автор: nikolaygolovanev2008
  • Вопрос задан 7 лет назад

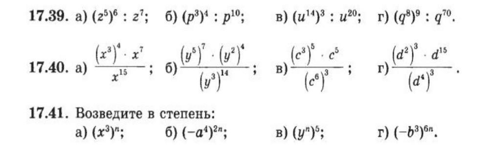
Помогите решить пожалуйста все 3 номера даю 20 баллов ​

Приложения:

Ответы

Ответ дал: secretaryputin
0

Ответ:

a) z^30 :z ^7= z^30-7=z^23.

b)p^12-p^10=p^2.

в)u^42-u^20=u^22.

г)q^72-q^70=q^2


nikolaygolovanev2008: Мне нужно все три номера а ты сделал/а только первый
Вас заинтересует